Упр.118 Старый учебник ГДЗ Макарычев 7 класс (Алгебра)
Решение #1
Решение #2

Рассмотрим вариант решения задания из учебника Макарычев, Миндюк 7 класс, Просвещение:
Какое из уравнений не имеет корней?
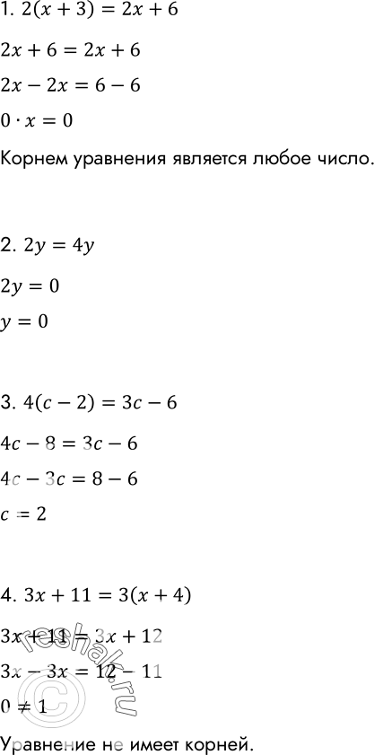
1. 2(х + 3) = 2х + 6
2. 2у = 4у
3. 4(с - 2) = 3с - 6
4. 3x + 11 = 3(x + 4)
Популярные решебники 7 класс Все решебники
*размещая тексты в комментариях ниже, вы автоматически соглашаетесь с пользовательским соглашением