Упр.155 ГДЗ Макарычев 7 класс (Алгебра)
Решение #1
Решение #2

Рассмотрим вариант решения задания из учебника Макарычев, Миндюк 7 класс, Просвещение:
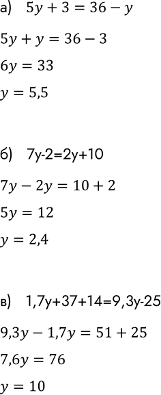
При каком значении у:
а) значения выражений 5у + 3 и 36 - у равны;
б) значение выражения 7у - 2 больше значения выражения 2у на 10;
в) значение выражения 1,7у + 37 меньше значения выражения 9,3у - 25 на 14?
Популярные решебники 7 класс Все решебники
*К сожалению, временные проблемы с публикацией комментариев с мобильных устройств.