Упр.154 ГДЗ Макарычев 7 класс (Алгебра)
Решение #1
Решение #2

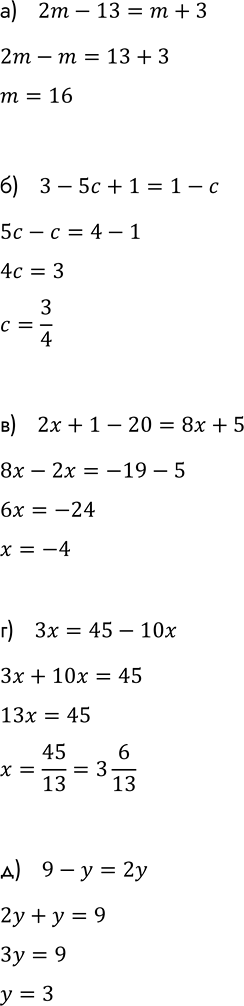
Рассмотрим вариант решения задания из учебника Макарычев, Миндюк 7 класс, Просвещение:
При каком значении переменной:
а) значения выражений 2m - 13 и m + 3 равны;
б) значение выражения 3 - 5с на 1 меньше значения выражения 1 - с;
в) значение выражения 2х + 1 на 20 больше значения выражения 8x + 5;
г) значение х в 3 раза меньше значения выражения 45 - 10x;
д) значение выражения 9 - у в 2 раза больше значения у?
Популярные решебники 7 класс Все решебники
*размещая тексты в комментариях ниже, вы автоматически соглашаетесь с пользовательским соглашением