Упр.114 ГДЗ Макарычев 7 класс (Алгебра)
Решение #1
Решение #2

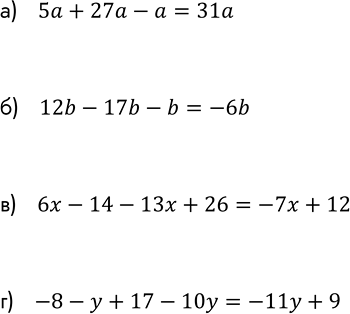
Рассмотрим вариант решения задания из учебника Макарычев, Миндюк 7 класс, Просвещение:
Приведите подобные слагаемые:
а) 5а + 27а - а;
б) 12b - 17b - b;
в) 6х - 14 - 13х + 2b;
г) -8 - у + 17 - 10у.
Популярные решебники 7 класс Все решебники
*размещая тексты в комментариях ниже, вы автоматически соглашаетесь с пользовательским соглашением