Упр.103 ГДЗ Макарычев 7 класс (Алгебра)
Решение #1
Решение #2

Рассмотрим вариант решения задания из учебника Макарычев, Миндюк 7 класс, Просвещение:
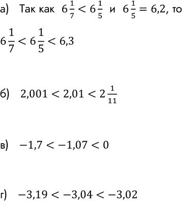
(Для работы в парах.) Расположите в порядке убывания числа:
а) 6*1/5; 6,3; 6*1/7;
б) 2,01; 2,001; 2*1/11;
в) -1,07; -1,7; 0;
г) -3,04; -3,02; -3,19.
Ответ запишите в виде двойного неравенства.
1) Распределите, кто выполняет задания а), в), а кто — задания б), г), и выполните их.
2) Проверьте друг у друга правильность выполнения заданий.
3) Исправьте ошибки, если они допущены.
Популярные решебники 7 класс Все решебники
*размещая тексты в комментариях ниже, вы автоматически соглашаетесь с пользовательским соглашением