Задание 215 Вариант 1 Самостоятельная работа ГДЗ Дидактические материалы Чесноков 5 класс (Математика)
Решение #1

Рассмотрим вариант решения задания из учебника Чесноков, Нешков 5 класс, Академкнига:
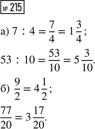
215. Запишите в виде смешанных чисел:
а) частные 7 : 4 и 53 : 10; б) дроби 9/2 и 77/20.
Похожие решебники
Популярные решебники 5 класс Все решебники
*размещая тексты в комментариях ниже, вы автоматически соглашаетесь с пользовательским соглашением