Упр.97 Повторение ГДЗ Мерзляк 10 класс Углубленный уровень (Алгебра)
Решение #1

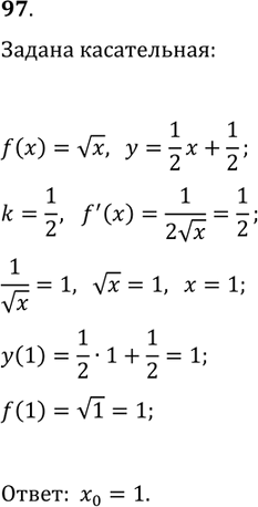
Рассмотрим вариант решения задания из учебника Мерзляк, Номировский, Поляков 10 класс, Просвещение:
97. Определите, является ли прямая y=1/2 x+1/2 касательной к графику функции y=vx. В случае утвердительного ответа укажите абсциссу точки касания.
Похожие решебники
Популярные решебники 10 класс Все решебники
*К сожалению, временные проблемы с публикацией комментариев с мобильных устройств.