Упр.95 Повторение ГДЗ Мерзляк 10 класс Углубленный уровень (Алгебра)
Решение #1

Рассмотрим вариант решения задания из учебника Мерзляк, Номировский, Поляков 10 класс, Просвещение:
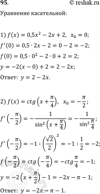
95. Составьте уравнение касательной к графику функции f в точке с абсциссой x_0, если:
1) f(x)=0,5x^2-2x+2, x_0=0; 2) f(x)=ctg(x+?/4), x_0=-?/2.
Похожие решебники
Популярные решебники 10 класс Все решебники
*размещая тексты в комментариях ниже, вы автоматически соглашаетесь с пользовательским соглашением