Упр.93 Повторение ГДЗ Мерзляк 10 класс Углубленный уровень (Алгебра)
Решение #1

Рассмотрим вариант решения задания из учебника Мерзляк, Номировский, Поляков 10 класс, Просвещение:
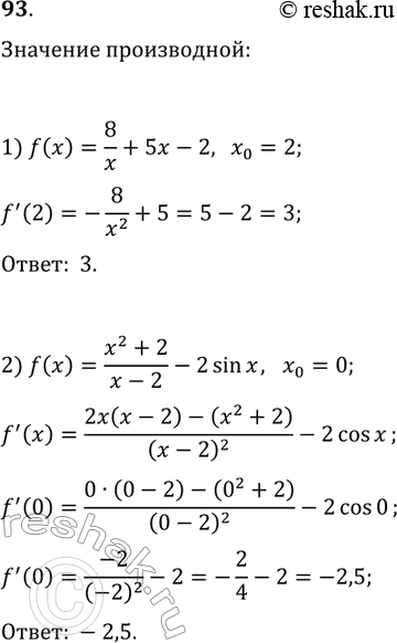
93. Чему равно значение производной функции f в точке x_0, если:
1) f(x)=8/x+5x-2, x_0=2; 2) f(x)=(x^2+2)/(x-2)-2sin(x), x_0=0?
Похожие решебники
Популярные решебники 10 класс Все решебники
*К сожалению, временные проблемы с публикацией комментариев с мобильных устройств.