Упр.9 Повторение ГДЗ Мерзляк 10 класс Углубленный уровень (Алгебра)
Решение #1

Рассмотрим вариант решения задания из учебника Мерзляк, Номировский, Поляков 10 класс, Просвещение:
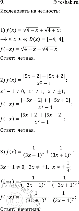
9. Исследуйте функцию на чётность:
1) f(x)=v(4-x)+v(4+x);
2) f(x)=(|5x-2|+|5x+2|)/(x^2-1);
3) f(x)=1/(3x-1)^7+1/(3x+1)^7.
Похожие решебники
Популярные решебники 10 класс Все решебники
*размещая тексты в комментариях ниже, вы автоматически соглашаетесь с пользовательским соглашением