Упр.88 Повторение ГДЗ Мерзляк 10 класс Углубленный уровень (Алгебра)
Решение #1

Рассмотрим вариант решения задания из учебника Мерзляк, Номировский, Поляков 10 класс, Просвещение:
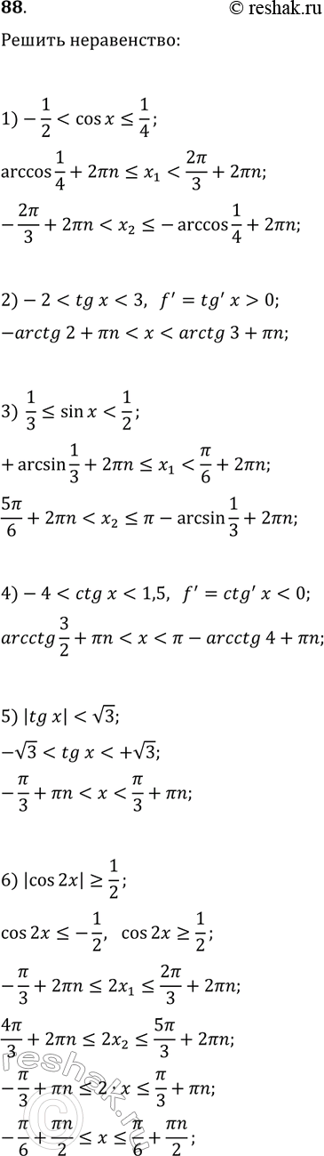
88. Решите неравенство:
1) -1/2 < cos(x)?1/4; 3) 1/3?sin(x) < 1/2; 5) |tg(x)| < v3;
2) -2 < tg(x) < 3; 4) -4 < ctg(x) < 1,5; 6) |cos(2x)|?1/2.
Похожие решебники
Популярные решебники 10 класс Все решебники
*К сожалению, временные проблемы с публикацией комментариев с мобильных устройств.