Упр.87 Повторение ГДЗ Мерзляк 10 класс Углубленный уровень (Алгебра)
Решение #1

Рассмотрим вариант решения задания из учебника Мерзляк, Номировский, Поляков 10 класс, Просвещение:
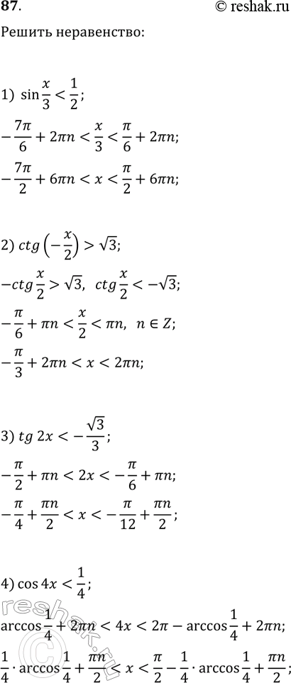
87. Решите неравенство:
1) sin(x/3) < 1/2; 3) tg(2x) < -v3/3;
2) ctg(-x/2) > v3; 4) cos(4x) < 1/4.
Похожие решебники
Популярные решебники 10 класс Все решебники
*К сожалению, временные проблемы с публикацией комментариев с мобильных устройств.