Упр.79 Повторение ГДЗ Мерзляк 10 класс Углубленный уровень (Алгебра)
Решение #1

Рассмотрим вариант решения задания из учебника Мерзляк, Номировский, Поляков 10 класс, Просвещение:
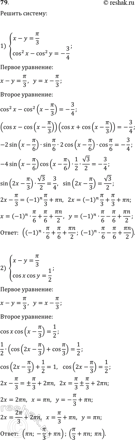
79. Решите систему уравнений:
1) {x-y=?/3, cos^2(x)-cos^2(y)=-3/4};
2) {x-y=?/3, cos(x)cos(y)=1/2};
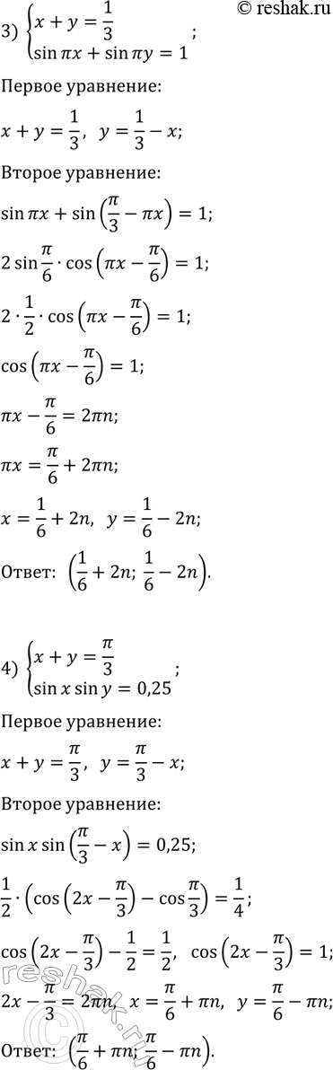
3) {x+y=1/3, sin(?x)+sin(?y)=1};
4) {x+y=?/3, sin(x)sin(y)=0,25}.
Похожие решебники
Популярные решебники 10 класс Все решебники
*К сожалению, временные проблемы с публикацией комментариев с мобильных устройств.