Упр.74 Повторение ГДЗ Мерзляк 10 класс Углубленный уровень (Алгебра)
Решение #1

Рассмотрим вариант решения задания из учебника Мерзляк, Номировский, Поляков 10 класс, Просвещение:
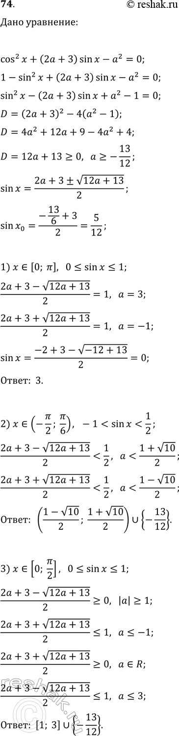
74. При каких значениях параметра а уравнение cos^(x)+(2a+3)sin(x)-a^2=0 имеет:
1) один корень на промежутке [0; ?];
2) один корень на промежутке (-?/2; ?/6);
3) один корень на промежутке [0; ?/2];
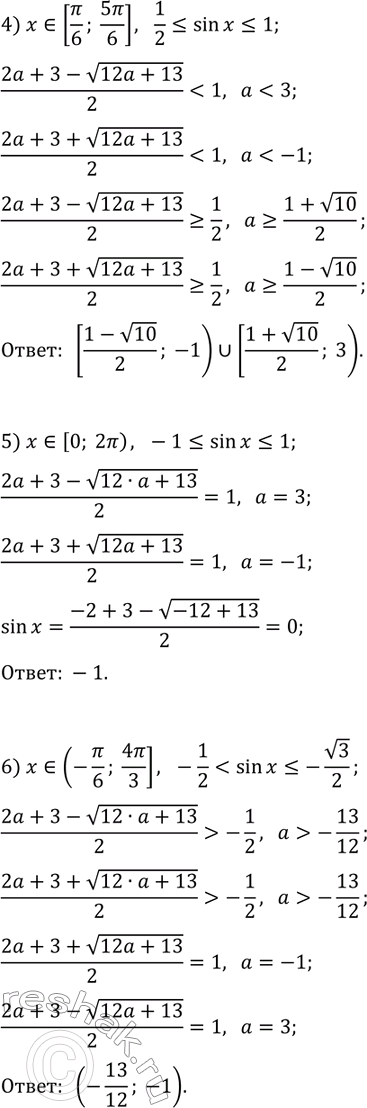
4) два корня на промежутке [?/6; 5?/6];
5) три корня на промежутке [0; 2?);
6) четыре корня на промежутке (-?/6; 4?/3)?
Похожие решебники
Популярные решебники 10 класс Все решебники
*размещая тексты в комментариях ниже, вы автоматически соглашаетесь с пользовательским соглашением