Упр.73 Повторите математику ГДЗ Дорофеев Суворова 9 класс (Алгебра)
Решение #1

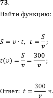
Рассмотрим вариант решения задания из учебника Дорофеев, Суворова, Бунимович 9 класс, Просвещение:
73. Два жилищных посёлка, расстояние между которыми 300 км, расположены на одном шоссе. Дорога идёт по прямой, поэтому мотоциклист едет с постоянной скоростью. Время движения t мотоциклиста является функцией его скорости v. Задайте эту функцию формулой.
Популярные решебники 9 класс Все решебники
*размещая тексты в комментариях ниже, вы автоматически соглашаетесь с пользовательским соглашением