Упр.71 Повторение ГДЗ Мерзляк 10 класс Углубленный уровень (Алгебра)
Решение #1

Рассмотрим вариант решения задания из учебника Мерзляк, Номировский, Поляков 10 класс, Просвещение:
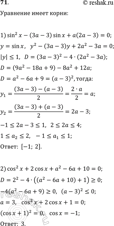
71. При каких значениях параметра а имеет корни уравнение:
1) sin^2(x)-(3a-3)sin(x)+a(2a-3)=0;
2) cos^2(x)+2cos(x)+a^2-6a+10=0?
Похожие решебники
Популярные решебники 10 класс Все решебники
*К сожалению, временные проблемы с публикацией комментариев с мобильных устройств.