Упр.7 Повторение ГДЗ Мерзляк 10 класс Углубленный уровень (Алгебра)
Решение #1

Рассмотрим вариант решения задания из учебника Мерзляк, Номировский, Поляков 10 класс, Просвещение:
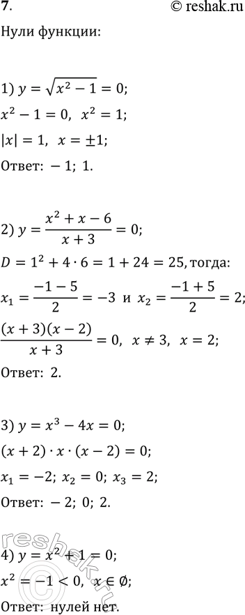
7. Найдите нули функции:
1) y=v(x^2-1); 3) y=x^3-4x;
2) y=(x^2+x-6)/(x+3); 4) y=x^2+1.
Похожие решебники
Популярные решебники 10 класс Все решебники
*К сожалению, временные проблемы с публикацией комментариев с мобильных устройств.