Упр.63 Повторение ГДЗ Мерзляк 10 класс Углубленный уровень (Алгебра)
Решение #1

Рассмотрим вариант решения задания из учебника Мерзляк, Номировский, Поляков 10 класс, Просвещение:
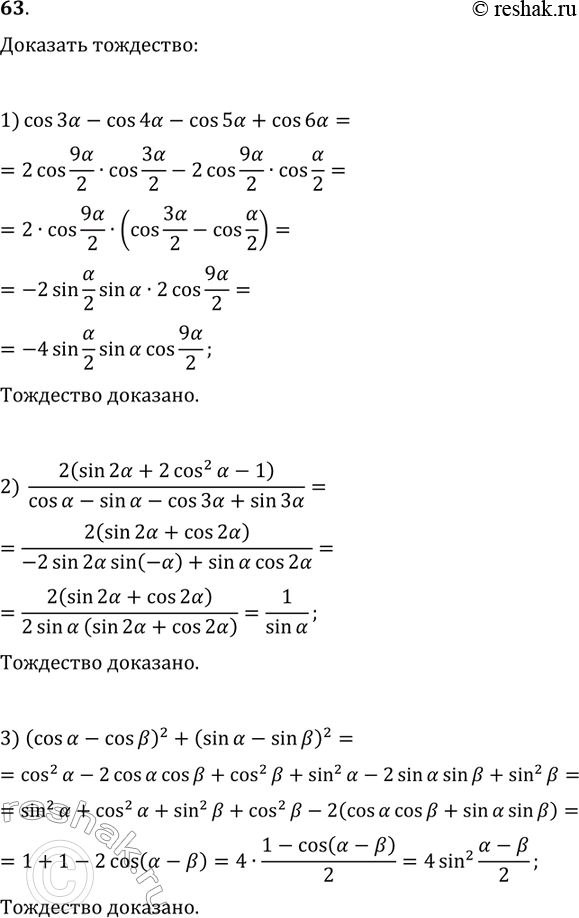
63. Докажите тождество:
1) cos(3?)-cos(4?)-cos(5?)+cos(6?)=-4sin(?/2)sin(?)cos(9?/2);
2) 2(sin(2?)+2cos^2(?)-1)/(cos(?)-sin(?)-cos(3?)+sin(3?))=1/sin(?);
3) (cos(?)-cos(?))^2+(sin(?)-sin(?))^2=4sin^2((?-?)/2);
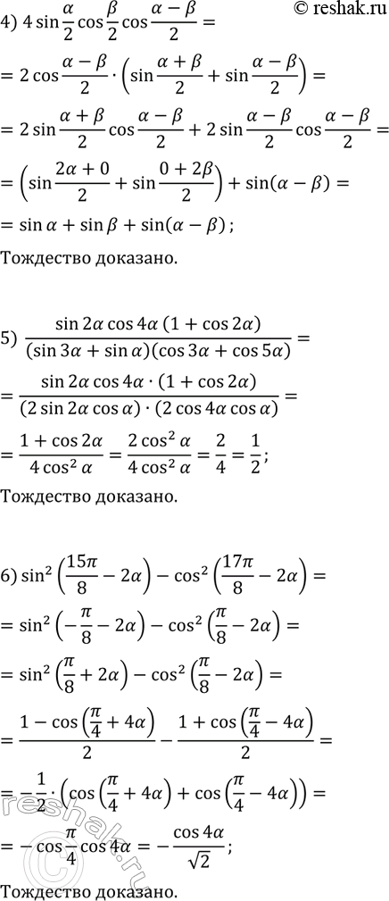
4) sin(?)+sin(?)+sin(?-?)=4sin(?/2)cos(?/2)cos((?-?)/2);
5) sin(2?)cos(4?)(1+cos(2?))/((sin(3?)+sin(?))(cos(3?)+cos(5?))=1/2;
6) sin^2(15?/8-2?)-cos^2(17?/8-2?)=-cos(4?)/v2.
Похожие решебники
Популярные решебники 10 класс Все решебники
*размещая тексты в комментариях ниже, вы автоматически соглашаетесь с пользовательским соглашением