Упр.61 Повторите математику ГДЗ Дорофеев Суворова 9 класс (Алгебра)
Решение #1

Рассмотрим вариант решения задания из учебника Дорофеев, Суворова, Бунимович 9 класс, Просвещение:
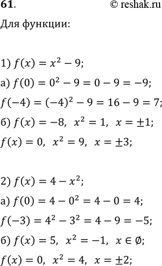
61. 1) Функция задана формулой f(x)=x^2-9. Найдите:
а) f(0), f(-4); б) значения х, при которых f(x)=-8; f(x)=0.
2) Функция задана формулой f(x)=4-x^2. Найдите:
а) f(-3); f(0); б) значения х, при которых f(x)=5; f(x)=0.
Популярные решебники 9 класс Все решебники
*размещая тексты в комментариях ниже, вы автоматически соглашаетесь с пользовательским соглашением