Упр.58 Повторите математику ГДЗ Дорофеев Суворова 9 класс (Алгебра)
Решение #1

Рассмотрим вариант решения задания из учебника Дорофеев, Суворова, Бунимович 9 класс, Просвещение:
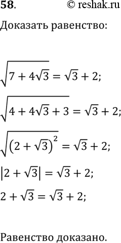
58. Докажите, что v(7+4v3)=v3+2.
Подсказка. Убедитесь в том, что квадрат полученного выражения равен подкоренному числу исходного выражения.
Популярные решебники 9 класс Все решебники
*размещая тексты в комментариях ниже, вы автоматически соглашаетесь с пользовательским соглашением