Упр.51 Повторите математику ГДЗ Дорофеев Суворова 9 класс (Алгебра)
Решение #1

Рассмотрим вариант решения задания из учебника Дорофеев, Суворова, Бунимович 9 класс, Просвещение:
51. Найдите значение выражения:
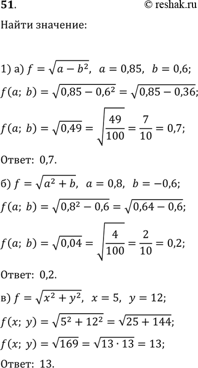
1) а) v(a-b^2) при a=0,85 и b=0,6;
б) v(a^2+b) при a=0,8 и b=-0,6;
в) v(x^2+y^2) при x=5, y=12.
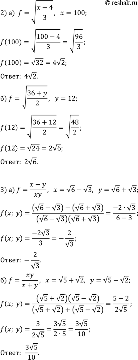
2) а) v((x-4)/3) при x=100;
б) v((36+y)/2) при y=12.
3) а) (x-y)/(xy) при x=v6-v3, y=v6+v3;
б) (xy)/(x+y) при x=v5+v2, y=v5-v2.
Популярные решебники 9 класс Все решебники
*размещая тексты в комментариях ниже, вы автоматически соглашаетесь с пользовательским соглашением