Упр.49 Повторение ГДЗ Мордкович Семенов 7 класс (Алгебра)
Решение #1 (Учебник 2025)

Рассмотрим вариант решения задания из учебника Мордкович, Семенов, Александрова 7 класс, Бином:
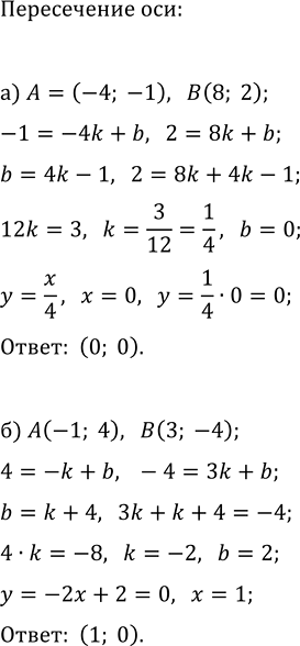
Найдите координаты точки, в которой отрезок AB пересекает:
а) ось ординат, если A(-4; -1), B(8; 2);
б) ось абсцисс, если A(-1; 4), B(3; -4).
Похожие решебники
Популярные решебники 7 класс Все решебники
*К сожалению, временные проблемы с публикацией комментариев с мобильных устройств.