Упр.49 Повторите математику ГДЗ Дорофеев Суворова 9 класс (Алгебра)
Решение #1

Рассмотрим вариант решения задания из учебника Дорофеев, Суворова, Бунимович 9 класс, Просвещение:
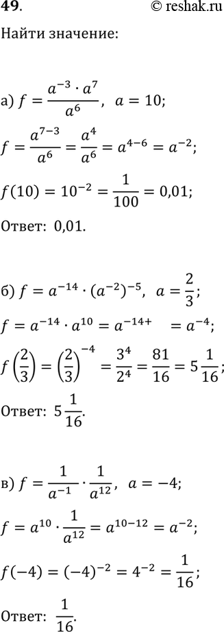
49. Представьте выражение в виде степени с основанием a.
Найдите его значение при заданном значении а:
а) (a^(-3)·a^7)/a^6, a=10;
б) a^(-14)(a^(-2))^(-5), a=2/3;
в) 1/a^(-10)·1/a^12, a=-4.
Популярные решебники 9 класс Все решебники
*К сожалению, временные проблемы с публикацией комментариев с мобильных устройств.