Упр.46 Повторение ГДЗ Мордкович Семенов 7 класс (Алгебра)
Решение #1 (Учебник 2025)

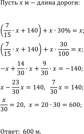
Рассмотрим вариант решения задания из учебника Мордкович, Семенов, Александрова 7 класс, Бином:
В первый день было отремонтировано 7/15 всего участка дороги и ещё 140 м, а во второй — оставшиеся 30 % всего участка. Сколько метров дороги отремонтировали за два дня?
Похожие решебники
Популярные решебники 7 класс Все решебники
*К сожалению, временные проблемы с публикацией комментариев с мобильных устройств.