Упр.44 Повторите математику ГДЗ Дорофеев Суворова 9 класс (Алгебра)
Решение #1

Рассмотрим вариант решения задания из учебника Дорофеев, Суворова, Бунимович 9 класс, Просвещение:
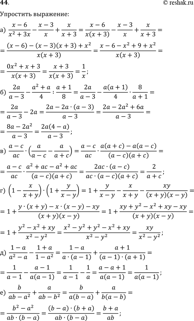
44. Упростите выражение:
а) (x-6)/(x^2+3x)-(x-3)/x+x/(x+3); г) (1-x/(x+y))·(1+y/(x-y));
б) 2a/(a-3)-(a^2+a)/4:(a+1)/8; д) (1-a)/(a^2-a)-(1+a)/(1-a^2);
в) (a-c)/(ac)·(a/(a-c)-a/(a+c)); е) b/(ab-a^2)+a/(ab-b^2).
Популярные решебники 9 класс Все решебники
*К сожалению, временные проблемы с публикацией комментариев с мобильных устройств.