Упр.432 Повторение ГДЗ Мерзляк 11 класс Базовый уровень (Алгебра)
Решение #1

Рассмотрим вариант решения задания из учебника Мерзляк, Номировский, Полонский 11 класс, Просвещение:
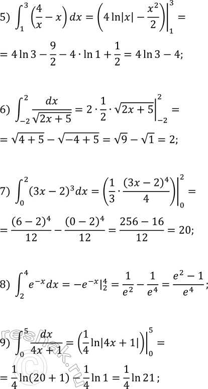
432. Вычислите интеграл:
1) ?(1, 3, dx/x^2); 6) ?(-2, 2, dx/v(2x+5));
2) ?(0, ?, (6cos(4x)-3sin(x))dx); 7) ?(0, 2, (3x-2)^3 dx);
3) ?(0, ?/18, dx/(sin(3x+?/6))^2); 8) ?(2, 4, e^(-x) dx);
4) ?(-2, 1, (x^2-2x+4)dx); 9) ?(0, 5, dx/(4x+1)).
5) ?(1, 3, (4/x-x)dx);
Похожие решебники
Популярные решебники 11 класс Все решебники
*К сожалению, временные проблемы с публикацией комментариев с мобильных устройств.