Упр.429 Повторение ГДЗ Мерзляк 11 класс Базовый уровень (Алгебра)
Решение #1

Рассмотрим вариант решения задания из учебника Мерзляк, Номировский, Полонский 11 класс, Просвещение:
429. Для функции f найдите на указанном промежутке I первообразную F, график которой проходит через данную точку М:
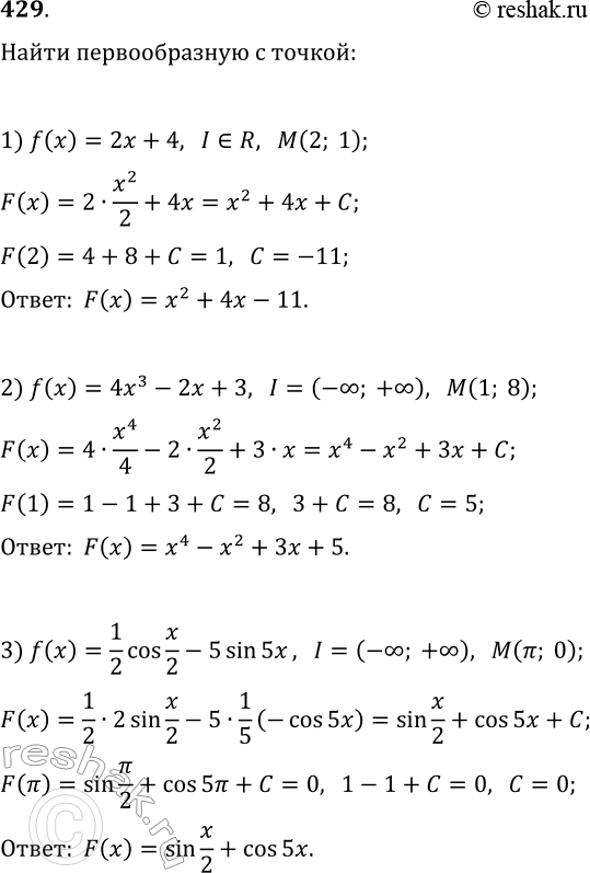
1) f(x)=2x+4, I=(-?; +?), M(2; 1);
2) f(x)=4x^3-2x+3, I=(-?; +?), M(1; 8);
3) f(x)=1/2 cos(x/2)-5sin(5x), I=(-?; +?), M(?; 0);
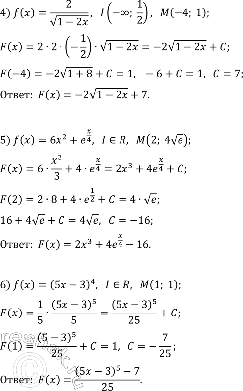
4) f(x)=2/v(1-2x), I=(-?; 1/2), M(-4; 1);
5) f(x)=6x^2+e^(x/4), I=(-?; +?), M(2; 4ve);
6) f(x)=(5x-3)^4, I=(-?; +?), M(1; 1).
Похожие решебники
Популярные решебники 11 класс Все решебники
*К сожалению, временные проблемы с публикацией комментариев с мобильных устройств.