Упр.41 Повторите математику ГДЗ Дорофеев Суворова 9 класс (Алгебра)
Решение #1

Рассмотрим вариант решения задания из учебника Дорофеев, Суворова, Бунимович 9 класс, Просвещение:
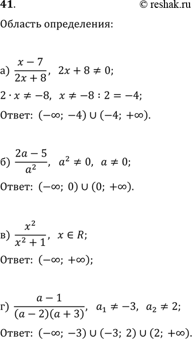
41. Найдите допустимые значения переменной для дроби:
а) (x-7)/(2x+8); б) (2a-5)/a^2;
в) x^2/(x^2+1); г) (a-1)/((a-2)(a+3).
Популярные решебники 9 класс Все решебники
*К сожалению, временные проблемы с публикацией комментариев с мобильных устройств.