Упр.38 Повторение ГДЗ Мерзляк 10 класс Углубленный уровень (Алгебра)
Решение #1

Рассмотрим вариант решения задания из учебника Мерзляк, Номировский, Поляков 10 класс, Просвещение:
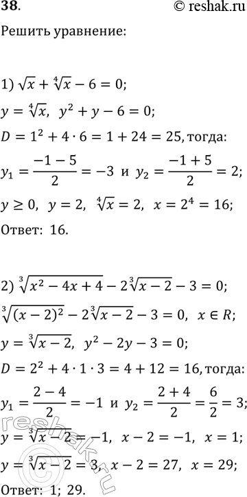
38. Решите уравнение:
1) vx+x^(1/4)-6=0;
2) (x^2-4x+4)^(1/3)-2(x-2)^(1/3)-3=0.
Похожие решебники
Популярные решебники 10 класс Все решебники
*К сожалению, временные проблемы с публикацией комментариев с мобильных устройств.