Упр.370 Повторение ГДЗ Мерзляк 11 класс Базовый уровень (Алгебра)
Решение #1

Рассмотрим вариант решения задания из учебника Мерзляк, Номировский, Полонский 11 класс, Просвещение:
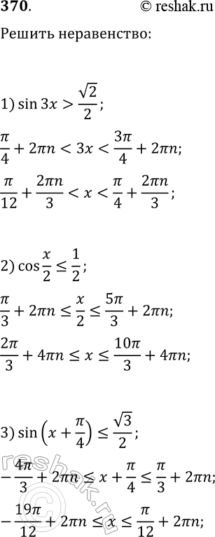
370. Решите неравенство:
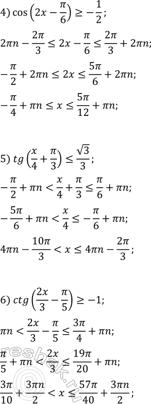
1) sin(3x) > v2/2; 3) sin(x+?/4)?v3/2; 5) tg(x/4+?/3)?v3/3;
2) cos(x/2)?1/2; 4) cos(2x-?/6)?-1/2; 6) ctg(2x/3-?/5)?-1.
Похожие решебники
Популярные решебники 11 класс Все решебники
*размещая тексты в комментариях ниже, вы автоматически соглашаетесь с пользовательским соглашением