Упр.365 Повторение ГДЗ Мерзляк 11 класс Базовый уровень (Алгебра)
Решение #1

Рассмотрим вариант решения задания из учебника Мерзляк, Номировский, Полонский 11 класс, Просвещение:
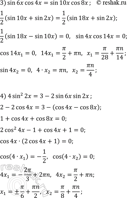
365. Решите уравнение:
1) sin(60°+x)cos(x-30°)=1;
2) cos(6x)cos(x)=cos(5x);
3) sin(6x)cos(4x)=sin(10x)cos(8x);
4) 4(sin(2x))^2=3-2sin(6x)sin(2x).
Похожие решебники
Популярные решебники 11 класс Все решебники
*размещая тексты в комментариях ниже, вы автоматически соглашаетесь с пользовательским соглашением