Упр.346 Повторение ГДЗ Мерзляк 11 класс Базовый уровень (Алгебра)
Решение #1

Рассмотрим вариант решения задания из учебника Мерзляк, Номировский, Полонский 11 класс, Просвещение:
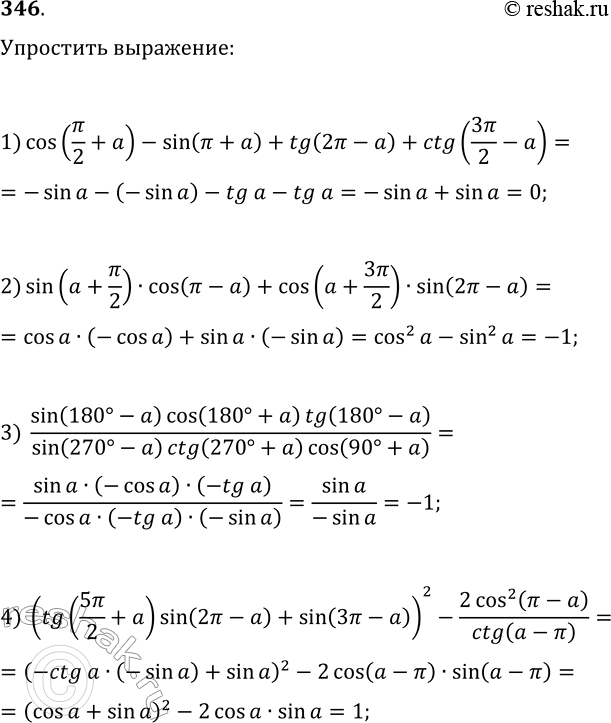
346. Упростите выражение:
1) cos(?/2+a)-sin(?+a)+tg(2?-a)+ctg(3?/2-a);
2) sin(a+?/2)cos(?-a)+cos(a+3?/2)sin(2?-a);
3) (sin(180°-a)cos(180°+a)tg(180°-a))/(sin(270°-a)ctg(270°+a)cos(90°+a));
4) (tg(5?/2+a)sin(2?-a)+sin(3?-a))^2-2(cos(?-a))^2/ctg(a-?).
Похожие решебники
Популярные решебники 11 класс Все решебники
*размещая тексты в комментариях ниже, вы автоматически соглашаетесь с пользовательским соглашением