Упр.340 Повторение ГДЗ Мерзляк 11 класс Базовый уровень (Алгебра)
Решение #1

Рассмотрим вариант решения задания из учебника Мерзляк, Номировский, Полонский 11 класс, Просвещение:
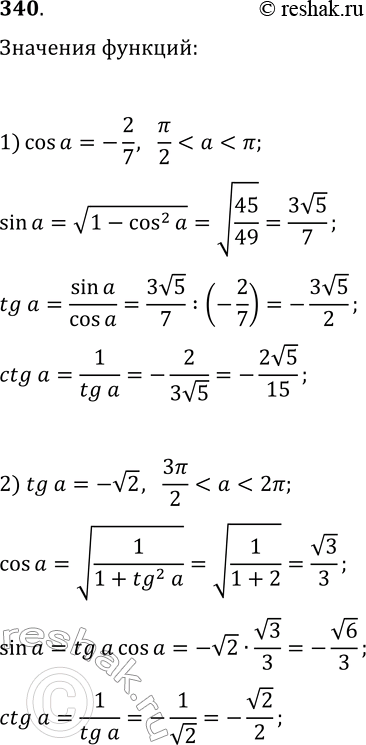
340. Вычислите значения тригонометрических функций аргумента a, если:
1) cos(a)=-2/7 и ?/2 < a < ?; 2) tg(a)=-v2 и 3?/2 < a < 2?.
Похожие решебники
Популярные решебники 11 класс Все решебники
*размещая тексты в комментариях ниже, вы автоматически соглашаетесь с пользовательским соглашением