Упр.33 Повторите математику ГДЗ Дорофеев Суворова 9 класс (Алгебра)
Решение #1

Рассмотрим вариант решения задания из учебника Дорофеев, Суворова, Бунимович 9 класс, Просвещение:
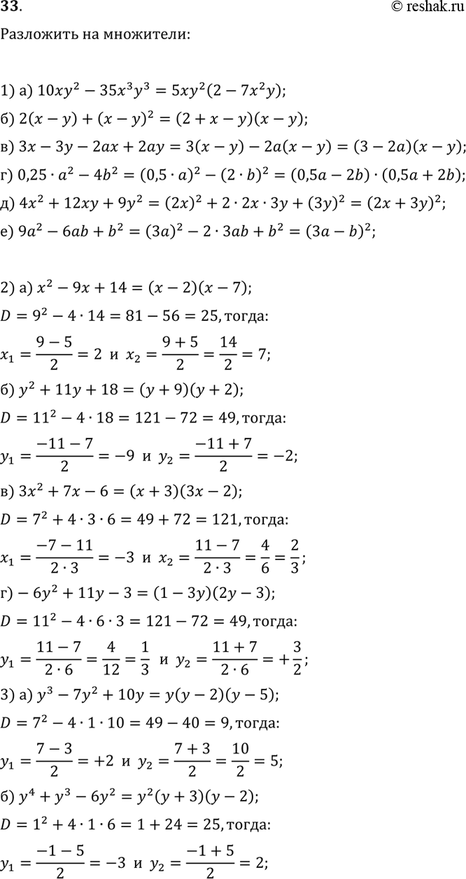
33. Разложите на множители многочлен:
1) а) 10xy^2-35x^3y^3; г) 0,25a^2-4b^2;
б) 2(x-y)+(x-y)^2; д) 4x^2+12xy+9y^2;
в) 3x-3y-2ax+2ay; е) 9a^2-6ab+b^2.
2) а) x^2-9x+14; в) 3x^2+7x-6;
б) y^2+11y+18; г) -6y^2+11y-3.
Подсказка. Вычислите корни квадратного трёхчлена.
3) а) y^3-7y^2+10y; б) y^4+y^3-6y^2.
Популярные решебники 9 класс Все решебники
*размещая тексты в комментариях ниже, вы автоматически соглашаетесь с пользовательским соглашением