Упр.32 Повторите математику ГДЗ Дорофеев Суворова 9 класс (Алгебра)
Решение #1

Рассмотрим вариант решения задания из учебника Дорофеев, Суворова, Бунимович 9 класс, Просвещение:
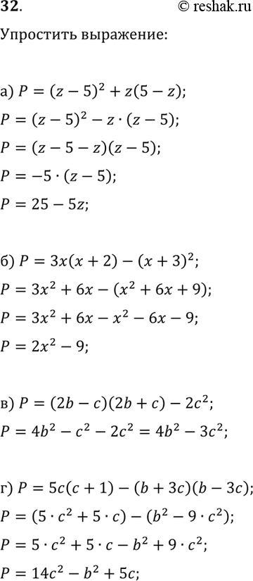
32. Упростите выражение, применив формулы сокращённого умножения, разности квадратов:
а) (z-5)^2+z(5-z); в) (2b-c)(2b+c)-2c^2;
б) 3x(x+2)-(x+3)^2; г) 5c(c+1)-(b+3c)(b-3c).
Популярные решебники 9 класс Все решебники
*К сожалению, временные проблемы с публикацией комментариев с мобильных устройств.