Упр.31 Повторите математику ГДЗ Дорофеев Суворова 9 класс (Алгебра)
Решение #1

Рассмотрим вариант решения задания из учебника Дорофеев, Суворова, Бунимович 9 класс, Просвещение:
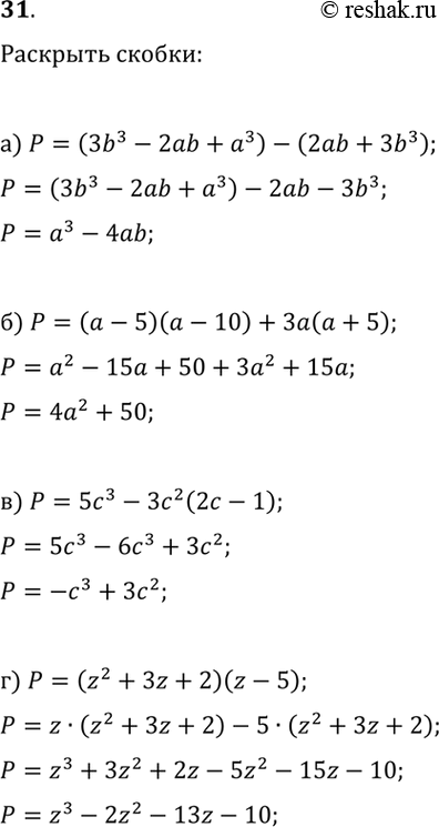
31. Раскройте скобки и приведите многочлен к стандартному виду:
а) (3b^3-2ab+a^3)-(2ab+3b^3); в) 5c^3-3c^2(2c-1);
б) (a-5)(a-10)+3a(a+5); г) (z^2+3z+2)(z-5).
Популярные решебники 9 класс Все решебники
*К сожалению, временные проблемы с публикацией комментариев с мобильных устройств.