Упр.28 Повторение ГДЗ Мерзляк 10 класс Углубленный уровень (Алгебра)
Решение #1

Рассмотрим вариант решения задания из учебника Мерзляк, Номировский, Поляков 10 класс, Просвещение:
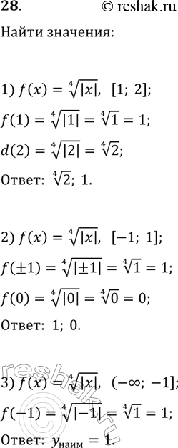
28. Найдите наибольшее и наименьшее значения функции f(x)=|x|^(1/4) на промежутке:
1) [1; 2]; 2) [-1; 1]; 3) (-?; -1].
Похожие решебники
Популярные решебники 10 класс Все решебники
*К сожалению, временные проблемы с публикацией комментариев с мобильных устройств.