Упр.243 Повторение ГДЗ Мерзляк 11 класс Базовый уровень (Алгебра)
Решение #1

Рассмотрим вариант решения задания из учебника Мерзляк, Номировский, Полонский 11 класс, Просвещение:
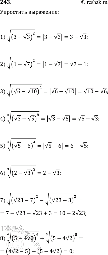
243. Упростите выражение:
1) v(3-v3)^2; 5) ((v5-6)^4)^(1/4);
2) v(1-v7)^2; 6) ((2-v3)^3)^(1/3);
3) v(v6-v10)^2; 7) v(v23-7)^2-v(v23-3)^2;
4) ((v3-v5)^8)^(1/8); 8) ((5-4v2)^6)^(1/6)+((5-4v2)^5)^(1/5).
Похожие решебники
Популярные решебники 11 класс Все решебники
*размещая тексты в комментариях ниже, вы автоматически соглашаетесь с пользовательским соглашением