Упр.242 Повторение ГДЗ Мерзляк 11 класс Базовый уровень (Алгебра)
Решение #1

Рассмотрим вариант решения задания из учебника Мерзляк, Номировский, Полонский 11 класс, Просвещение:
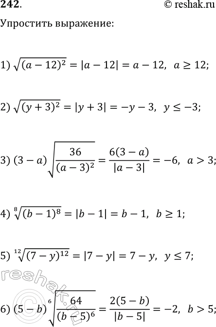
242. Упростите выражение:
1) v(a-12)^2, если a?12; 4) ((b-1)^8)^(1/8), если b?1;
2) v(y+3)^2, если y?-3; 5) ((7-y)^12)^(1/12), если y?7;
3) (3-a)v(36/(a-3)^2), если a > 3;
6) (5-b)(64/(b-5)^6)^(1/6), если b > 5.
Похожие решебники
Популярные решебники 11 класс Все решебники
*размещая тексты в комментариях ниже, вы автоматически соглашаетесь с пользовательским соглашением