Упр.234 Повторение ГДЗ Мерзляк 11 класс Базовый уровень (Алгебра)
Решение #1

Рассмотрим вариант решения задания из учебника Мерзляк, Номировский, Полонский 11 класс, Просвещение:
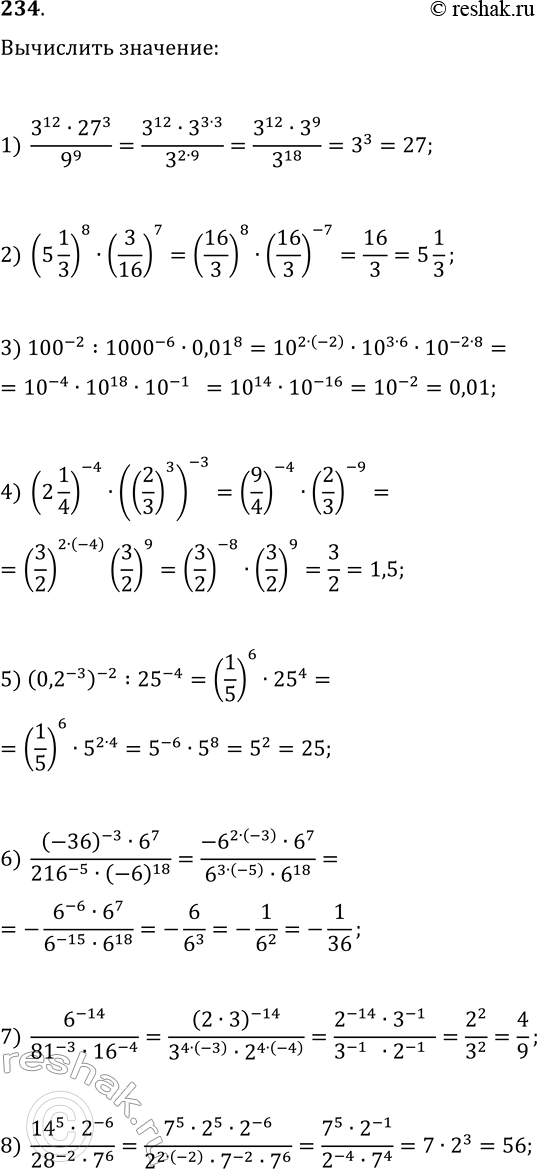
234. Найдите значение выражения:
1) (3^12·27^3)/9^9;
2) (5 1/3)^8·(3/16)^7;
3) 100^(-2):1000^(-6)·0,01^8;
4) (2 1/4)^(-4)·((2/3)^3)^(-3);
5) (0,2^(-3))^(-2):25^(-4);
6) (-36)^(-3)·6^7/(216^(-5)·(-6)^18));
7) 6^(-14)/(81^(-3)·16^(-4));
8) 14^5·2^(-6)/(28^(-2)·7^6).
Похожие решебники
Популярные решебники 11 класс Все решебники
*размещая тексты в комментариях ниже, вы автоматически соглашаетесь с пользовательским соглашением