Упр.233 Повторение ГДЗ Мерзляк 11 класс Базовый уровень (Алгебра)
Решение #1

Рассмотрим вариант решения задания из учебника Мерзляк, Номировский, Полонский 11 класс, Просвещение:
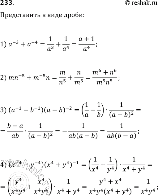
233. Представьте в виде дроби выражение:
1) a^(-3)+a^(-4); 3) (a^(-1)-b^(-1))·(a-b)^(-2);
2) mn^(-5)+m^(-5) n; 4) (x^(-4)+y^(-4))·(x^4+y^4)^(-1).
Похожие решебники
Популярные решебники 11 класс Все решебники
*размещая тексты в комментариях ниже, вы автоматически соглашаетесь с пользовательским соглашением