Упр.230 Повторение ГДЗ Мерзляк 11 класс Базовый уровень (Алгебра)
Решение #1

Рассмотрим вариант решения задания из учебника Мерзляк, Номировский, Полонский 11 класс, Просвещение:
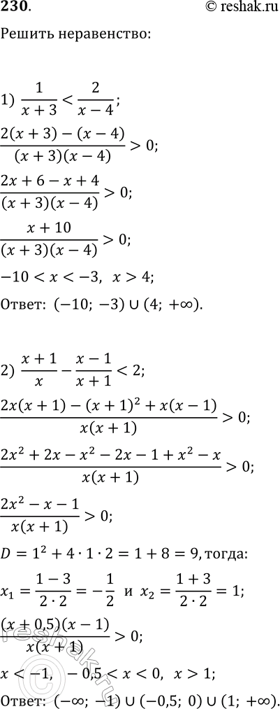
230. Решите неравенство:
1) 1/(x+3) < 2/(x-4); 3) 1/(x-2)+1/(x+2)?3/x;
2) (x+1)/x-(x-1)/(x+1) < 2; 4) 7/(x^2-9)-12/(x^2-4)?0.
Похожие решебники
Популярные решебники 11 класс Все решебники
*размещая тексты в комментариях ниже, вы автоматически соглашаетесь с пользовательским соглашением