Упр.224 Повторение ГДЗ Мерзляк 11 класс Базовый уровень (Алгебра)
Решение #1

Рассмотрим вариант решения задания из учебника Мерзляк, Номировский, Полонский 11 класс, Просвещение:
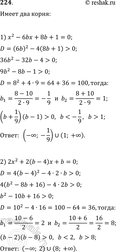
224. При каких значениях 6 имеет два различных действительных корня уравнение:
1) x^2-6bx+8b+1=0; 2) 2x^2+2(b-4)x+b=0?
Похожие решебники
Популярные решебники 11 класс Все решебники
*размещая тексты в комментариях ниже, вы автоматически соглашаетесь с пользовательским соглашением