Упр.22 Повторение ГДЗ Мордкович Семенов 7 класс (Алгебра)
Решение #1 (Учебник 2025)

Рассмотрим вариант решения задания из учебника Мордкович, Семенов, Александрова 7 класс, Бином:
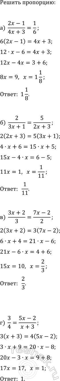
Решите пропорцию:
а) (2x - 1) / (4x + 3) = 1/6; в) (3x + 2) / 3 = (7x - 2) / 2;
б) 2 / (3x + 1) = 5 / (2x + 3); г) 3/4 = (5x - 2) / (x + 3).
Похожие решебники
Популярные решебники 7 класс Все решебники
*К сожалению, временные проблемы с публикацией комментариев с мобильных устройств.