Упр.21 Повторение ГДЗ Мордкович Семенов 7 класс (Алгебра)
Решение #1 (Учебник 2025)

Рассмотрим вариант решения задания из учебника Мордкович, Семенов, Александрова 7 класс, Бином:
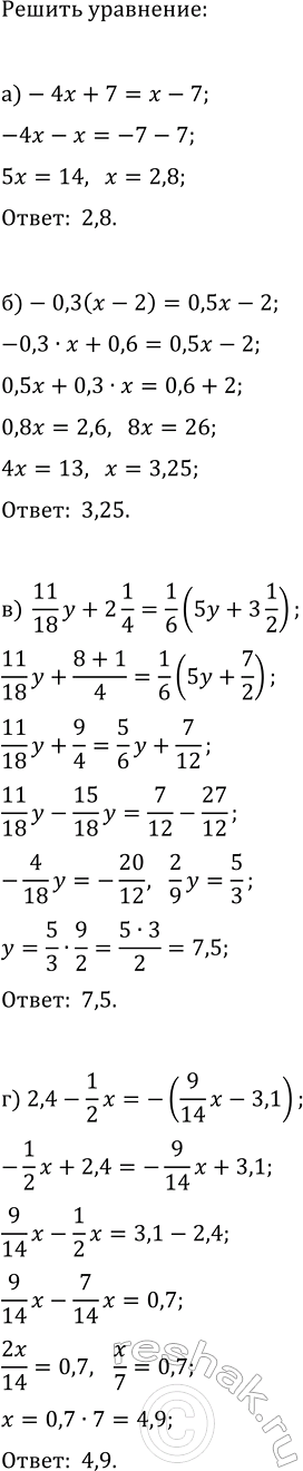
Решите уравнение:
а) -4x + 7 = x - 7; в) 11/18 y + 2 1/4 = 1/6 ( 5y + 3 1/2 );
б) -0,3(x - 2) = 0,5x - 2; г) 2,4 - 1/2 x = -( 9/14 x - 3,1 ).
Похожие решебники
Популярные решебники 7 класс Все решебники
*К сожалению, временные проблемы с публикацией комментариев с мобильных устройств.