Упр.20 Повторение ГДЗ Мордкович Семенов 7 класс (Алгебра)
Решение #1 (Учебник 2025)

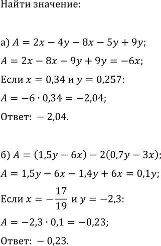
Рассмотрим вариант решения задания из учебника Мордкович, Семенов, Александрова 7 класс, Бином:
Найдите значение выражения:
а) 2x - 4y - 8x - 5y + 9y при x = 0,34, y = 0,257;
б) (1,5y - 6x) - 2(0,7y - 3x) при x = -17/19, y = -2,3.
Похожие решебники
Популярные решебники 7 класс Все решебники
*К сожалению, временные проблемы с публикацией комментариев с мобильных устройств.