Упр.2 Повторение ГДЗ Мордкович Семенов 7 класс (Алгебра)
Решение #1 (Учебник 2025)

Рассмотрим вариант решения задания из учебника Мордкович, Семенов, Александрова 7 класс, Бином:
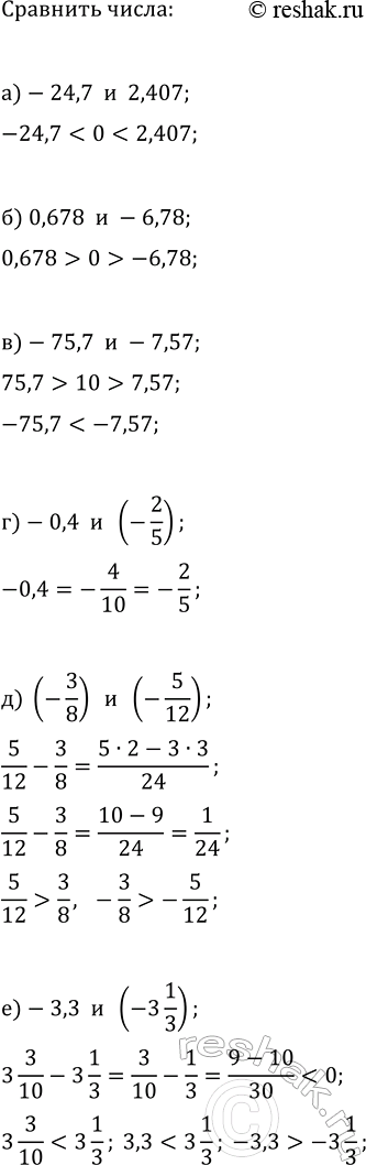
Сравните числа:
а) -24,7 и 2,407; в) -75,7 и -7,57; д) (-3/8) и (-5/12);
б) 0,678 и -6,78; г) -0,4 и (-2/5); е) -3,3 и -3 1/3.
Похожие решебники
Популярные решебники 7 класс Все решебники
*К сожалению, временные проблемы с публикацией комментариев с мобильных устройств.