Упр.18 Повторение ГДЗ Мордкович Семенов 7 класс (Алгебра)
Решение #1 (Учебник 2025)

Рассмотрим вариант решения задания из учебника Мордкович, Семенов, Александрова 7 класс, Бином:
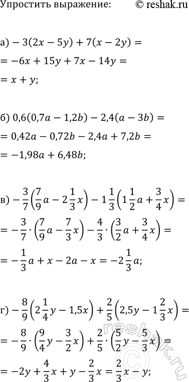
Упростите выражение:
а) -3(2x - 5y) + 7(x - 2y);
б) 0,6(0,7a - 1,2b) - 2,4(a - 3b);
в) 3/7 ( 7/9 a - 2 1/3 x ) - 1 1/3 ( 1/2 a + 3/4 x );
г) -8/9 ( 2 1/4 y - 1,5x ) + 2/5 ( 2,5y - 1 2/3 x ).
Похожие решебники
Популярные решебники 7 класс Все решебники
*К сожалению, временные проблемы с публикацией комментариев с мобильных устройств.