Упр.17 Повторение ГДЗ Мордкович Семенов 7 класс (Алгебра)
Решение #1 (Учебник 2025)

Рассмотрим вариант решения задания из учебника Мордкович, Семенов, Александрова 7 класс, Бином:
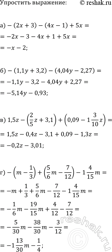
Упростите выражение:
а) -(2x + 3) - (4x - 1) + 5x;
б) -(1,1y + 3,2) - (4,04y - 2,27);
в) 1,5z - (2/5 z + 3,1) + (0,09 - 1 3/10 z);
г) -(m - 1/3) + (5/6 m - 7/12) - 1 4/15 m.
Похожие решебники
Популярные решебники 7 класс Все решебники
*К сожалению, временные проблемы с публикацией комментариев с мобильных устройств.