Упр.165 Повторение ГДЗ Мерзляк 11 класс Базовый уровень (Алгебра)
Решение #1

Рассмотрим вариант решения задания из учебника Мерзляк, Номировский, Полонский 11 класс, Просвещение:
165. Решите уравнение:
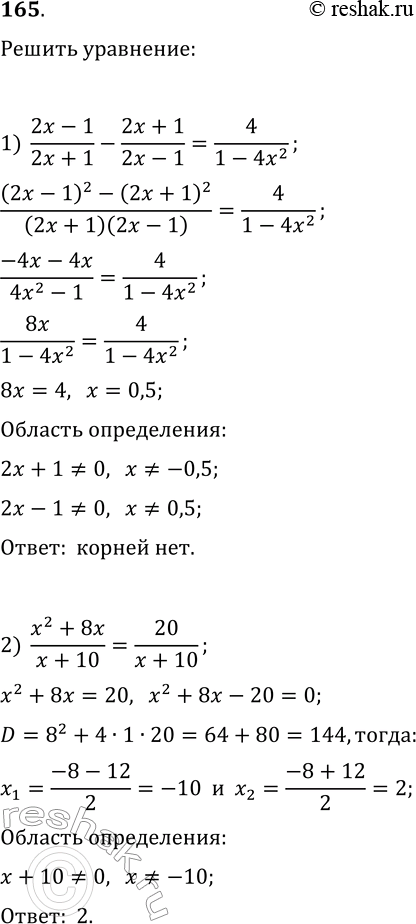
1) (2x-1)/(2x+1)-(2x+1)/(2x-1)=4/(1-4x^2);
2) (x^2+8x)/(x+10)=20/(x+10);
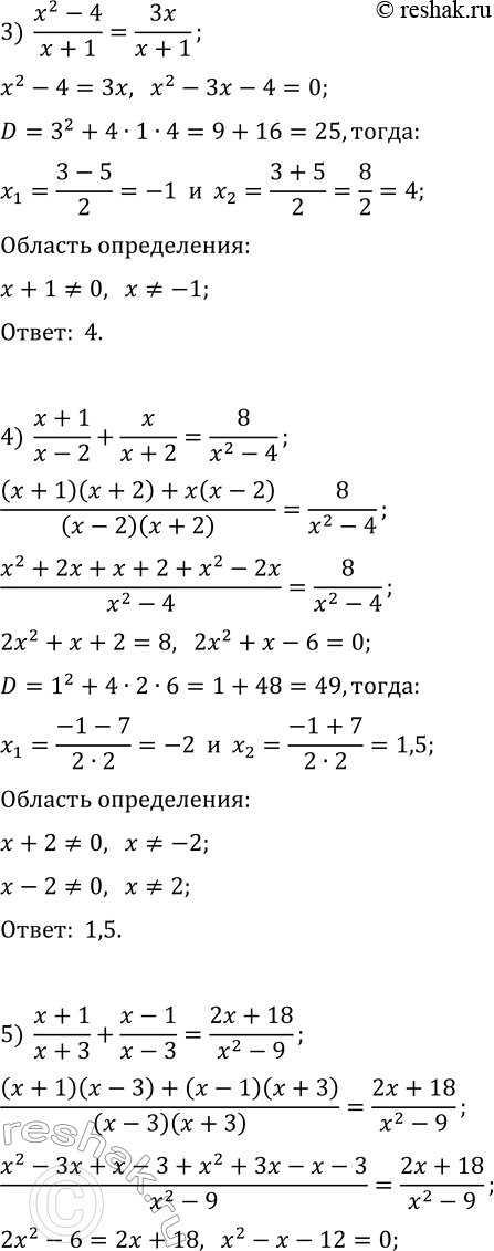
3) (x^2-4)/(x+1)=3x/(x+1);
4) (x+1)/(x-2)+x/(x+2)=8/(x^2-4);
5) (x+1)/(x+3)+(x-1)/(x-3)=(2x+18)/(x^2-9);
6) 10/(x^2-5x)-(x-3)/(x-5)=1/x;
7) 4x/(x^2-4x+4)-(x+2)/(x^2-2x)=1/x;
8) 4/(x^2-49)-2/(x^2-7x)+(x-4)/(x^2+7x)=0.
Похожие решебники
Популярные решебники 11 класс Все решебники
*размещая тексты в комментариях ниже, вы автоматически соглашаетесь с пользовательским соглашением